| 일 | 월 | 화 | 수 | 목 | 금 | 토 |
|---|---|---|---|---|---|---|
| 1 | 2 | 3 | ||||
| 4 | 5 | 6 | 7 | 8 | 9 | 10 |
| 11 | 12 | 13 | 14 | 15 | 16 | 17 |
| 18 | 19 | 20 | 21 | 22 | 23 | 24 |
| 25 | 26 | 27 | 28 | 29 | 30 | 31 |
- docker 완전 삭제
- 코드업 1020 자바
- 프로그래머스 나누어 떨어지는 숫자 배열 자바
- 빅데이터분석기사
- 나누어 떨어지는 숫자 배열 java
- docker 삭제
- 최소 스패닝 트리
- 청년 Ai Big Data 아카데미
- 최단 경로 알고리즘
- m1 docker
- 트리의 지름 java
- 가운데 글자 가져오기 java
- 핸즈온 머신러닝
- m1 docker install
- 프로그래머스 가운데 글자 가져오기 파이썬
- 프로그래머스 가운데 글자 가져오기 자바
- 최소 스패닝 트리 자바
- 가운데 글자 가져오기 자바
- 가운데 글자 가져오기 파이썬
- 청년 AI Big Data 아카데미 13기
- 나누어 떨어지는 숫자 배열 python
- 가운데 글자 가져오기 python
- 프로그래머스 나누어 떨어지는 숫자 배열 파이썬
- 코드업 1020 java
- codeup 1020 자바
- docker remove
- 프로그래머스 가운데 글자 가져오기 python
- codeup 1020 java
- 빅분기실기
- 트리의 지름 자바
- Today
- Total
NineTwo meet you
[선형대수] 벡터 Vector 본문
벡터란?
유클리드 공간에서 방향과 크기를 포함하는 기하학적인 대상으로 보통 화살표로 표시한다.
벡터 표현

벡터를 표현할 때 점과 헷갈릴 수 있지만 점과 벡터는 엄현이 다른 것임을 알아야 한다.

단위 벡터
다양한 방향과 크기를 가진 벡터 중 크기가 1인 벡터를 모두 단위 벡터라고 칭한다.
크기가 1이 아닌 벡터를 크기가 1인 단위 벡터로 만드는 것을 정규화라고 칭한다.

표준 단위 벡터 / 기본 단위 벡터
크기가 1인 단위 벡터 중 i 번째 성분만 1이고 나머지는 0인 벡터를 표준 단위 벡터 또는 기본 단위 벡터라 칭한다.
모든 벡터는 표준 단위 벡터로 표현할 수 있다.
2차원의 표준 단위 벡터는 (1,0)과 (0,1)이고
3차원의 표준 단위 벡터는 (1,0,0), (0,1,0), (0,0,1)이다.
(2, 3) = 2*(1,0) + 3*(0,1)
(2,3,5) = 2*(1,0,0) + 3(0,1,0) + 5(0,0,1)
벡터의 상등/동치
기하학적으로 동일한 방향과 크기를 가지는 벡터는 같은 것으로 간주한다.
아래 보이는 파란색 벡터들은 위치는 서로 다르지만 모두 방향과 크기가 같은 벡터이다.
이들을 상등 또는 동치라 한다.

벡터의 스칼라 배
벡터에 실수 배를 할 수 있다.
실수 k가 양수일 경우 동일한 방향의 크기만 k배만큼 변화한다.
실수 k가 음수일 경우 반대 방향의 크기가 k배한 화살표가 된다.

벡터의 덧셈
두 벡터를 더할 수 있다.
이때 한 벡터의 종점과 다른 벡터의 시점이 같은 경우는 벡터 합 삼각형 법칙을 적용한다.
두 벡터의 시점이 같은 경우는 벡터 합 평행사변형 법칙을 적용한다.


벡터 덧셈에 대해 성립되는 법칙
- 교환 법칙 : A + B = B + A
- 결합 법칙 : (A + B) + C = A + (B + C)
- 벡터 덧셈의 항등원 존재 : A + 0 = A
- 벡터 덧셈의 역원 존재 : A + (-A) = 0
벡터의 뺄셈


벡터의 내적



특수각의 삼각비에 따라 두 벡터를 내적 한 값이 0이면 두 벡터 사이의 각이 90도이라는 것을 알 수 있다.
다른 말로 두 벡터 사이의 각이 90도 라면 두 벡터를 내적 하면 0이 나온다.

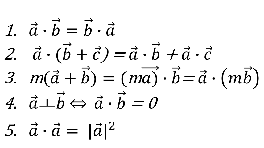
벡터의 성질

벡터의 사영
정사영이란 특정 도형이나 선분에 빛을 쪼였을 때 생기는 그 빛과 수직인 평면에 생기는 그림자를 의미한다.
이에 벡터의 사영도 마찬가지로 한 벡터에 다른 벡터를 수직으로 내렸을 때 생기는 그림자 벡터라고 생각하면 쉽다.
proj이란 사영이란 뜻의 projection의 약자이다.


사영 벡터와 벡터의 뺄셈을 이용해 이용해 벡터 b에 수직인 벡터도 구할 수 있다.

'수학 > 선형대수' 카테고리의 다른 글
| [선형대수] 일차 독립 & 일차 종속 (0) | 2021.01.27 |
|---|---|
| [선형대수] 벡터공간 Vector space (0) | 2021.01.27 |
| [선형대수] 고유치 eigenvalue 와 고유벡터 eigenvector (0) | 2021.01.27 |
| [선형대수] 랭크 Rank (0) | 2021.01.27 |
| [선형대수] 행렬 Matrix (0) | 2021.01.27 |