| 일 | 월 | 화 | 수 | 목 | 금 | 토 |
|---|---|---|---|---|---|---|
| 1 | 2 | 3 | ||||
| 4 | 5 | 6 | 7 | 8 | 9 | 10 |
| 11 | 12 | 13 | 14 | 15 | 16 | 17 |
| 18 | 19 | 20 | 21 | 22 | 23 | 24 |
| 25 | 26 | 27 | 28 | 29 | 30 | 31 |
- 프로그래머스 나누어 떨어지는 숫자 배열 파이썬
- 트리의 지름 java
- 청년 Ai Big Data 아카데미
- m1 docker
- docker remove
- m1 docker install
- 가운데 글자 가져오기 python
- 가운데 글자 가져오기 java
- 나누어 떨어지는 숫자 배열 python
- 트리의 지름 자바
- 코드업 1020 java
- 프로그래머스 가운데 글자 가져오기 자바
- 최소 스패닝 트리 자바
- 최단 경로 알고리즘
- 가운데 글자 가져오기 자바
- 가운데 글자 가져오기 파이썬
- 최소 스패닝 트리
- 코드업 1020 자바
- 프로그래머스 가운데 글자 가져오기 파이썬
- 나누어 떨어지는 숫자 배열 java
- 청년 AI Big Data 아카데미 13기
- 핸즈온 머신러닝
- docker 삭제
- codeup 1020 자바
- codeup 1020 java
- 빅분기실기
- 빅데이터분석기사
- 프로그래머스 나누어 떨어지는 숫자 배열 자바
- docker 완전 삭제
- 프로그래머스 가운데 글자 가져오기 python
- Today
- Total
NineTwo meet you
[프로그래머스/자바] 배달 본문
문제 설명
N개의 마을로 이루어진 나라가 있습니다.
이 나라의 각 마을에는 1부터 N까지의 번호가 각각 하나씩 부여되어 있습니다.
각 마을은 양방향으로 통행할 수 있는 도로로 연결되어 있는데, 서로 다른 마을 간에 이동할 때는 이 도로를 지나야 합니다.
도로를 지날 때 걸리는 시간은 도로별로 다릅니다.
현재 1번 마을에 있는 음식점에서 각 마을로 음식 배달을 하려고 합니다.
각 마을로부터 음식 주문을 받으려고 하는데, N개의 마을 중에서 K 시간 이하로 배달이 가능한 마을에서만 주문을 받으려고 합니다. 다음은 N = 5, K = 3인 경우의 예시입니다.

위 그림에서 1번 마을에 있는 음식점은 [1, 2, 4, 5] 번 마을까지는 3 이하의 시간에 배달할 수 있습니다.
그러나 3번 마을까지는 3시간 이내로 배달할 수 있는 경로가 없으므로 3번 마을에서는 주문을 받지 않습니다.
따라서 1번 마을에 있는 음식점이 배달 주문을 받을 수 있는 마을은 4개가 됩니다.
마을의 개수 N, 각 마을을 연결하는 도로의 정보 road, 음식 배달이 가능한 시간 K가 매개변수로 주어질 때, 음식 주문을 받을 수 있는 마을의 개수를 return 하도록 solution 함수를 완성해주세요.
제한사항
- 마을의 개수 N은 1 이상 50 이하의 자연수입니다.
- road의 길이(도로 정보의 개수)는 1 이상 2,000 이하입니다.
- road의 각 원소는 마을을 연결하고 있는 각 도로의 정보를 나타냅니다.
- road는 길이가 3인 배열이며, 순서대로 (a, b, c)를 나타냅니다.
- a, b(1 ≤ a, b ≤ N, a!= b)는 도로가 연결하는 두 마을의 번호이며, c(1 ≤ c ≤ 10,000, c는 자연수)는 도로를 지나는데 걸리는 시간입니다.
- 두 마을 a, b를 연결하는 도로는 여러 개가 있을 수 있습니다.
- 한 도로의 정보가 여러 번 중복해서 주어지지 않습니다.
- K는 음식 배달이 가능한 시간을 나타내며, 1 이상 500,000 이하입니다.
- 임의의 두 마을 간에 항상 이동 가능한 경로가 존재합니다.
- 1번 마을에 있는 음식점이 K 이하의 시간에 배달이 가능한 마을의 개수를 return 하면 됩니다.
입출력 예
| N | road | K | result |
| 5 | [[1,2,1],[2,3,3],[5,2,2],[1,4,2],[5,3,1],[5,4,2]] | 3 | 4 |
| 6 | [[1,2,1],[1,3,2],[2,3,2],[3,4,3],[3,5,2],[3,5,3],[5,6,1]] | 4 | 4 |
입출력 예 설명
입출력 예 #1
문제의 예시와 같습니다.
입출력 예 #2
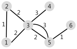
주어진 마을과 도로의 모양은 아래 그림과 같습니다.

1번 마을에서 배달에 4시간 이하가 걸리는 마을은 [1, 2, 3, 5] 4개이므로 4를 return 합니다.
설명
인접 리스트와 PriorityQueue를 활용해 문제를 풀었다.
다음과 같이 road의 값을 이용해 양방향 인접 리스트의 값을 설정한다.
// 변수 선언
static ArrayList<edge>[] al = new ArrayList[N+1];
// 초기화
for(int i = 0; i < N+1; i++) al[i] = new ArrayList<>();
// 양방향 리스트 값 설정
for(int i = 0; i < road.length; i++){
al[road[i][0]].add(new edge(road[i][1], road[i][2]));
al[road[i][1]].add(new edge(road[i][0], road[i][2]));
}
방문한 정점인지 확인하기 위해 boolean visited []를 이용해 체크한다.
방문 시까지의 weight가 최소가 되는 지점을 먼저 방문해야 하기 때문에 w가 오름차순으로 정렬되는 PriorityQueue를 사용한다.
방문 시 해당 마을까지의 w을 저장하기 위한 int town []를 이용해 bfs가 끝나고 K보다 작은 w을 가진 마을의 개수를 구할 수 있다.
코드
'프로그래밍 문제 > 프로그래머스' 카테고리의 다른 글
| [프로그래머스/자바] 로또의 최고 순위와 최저 순위 (0) | 2021.05.22 |
|---|---|
| [프로그래머스/자바] 행렬 테두리 회전하기 (0) | 2021.05.07 |
| [프로그래머스/자바] 게임 맵 최단거리 (0) | 2021.05.04 |
| [프로그래머스/자바] [3차] 자동완성 (0) | 2021.02.04 |
| [프로그래머스/자바] 메뉴 리뉴얼 (0) | 2021.02.04 |
