반응형
Notice
Recent Posts
Recent Comments
Link
| 일 | 월 | 화 | 수 | 목 | 금 | 토 |
|---|---|---|---|---|---|---|
| 1 | 2 | |||||
| 3 | 4 | 5 | 6 | 7 | 8 | 9 |
| 10 | 11 | 12 | 13 | 14 | 15 | 16 |
| 17 | 18 | 19 | 20 | 21 | 22 | 23 |
| 24 | 25 | 26 | 27 | 28 | 29 | 30 |
| 31 |
Tags
- 프로그래머스 가운데 글자 가져오기 파이썬
- 트리의 지름 자바
- 가운데 글자 가져오기 파이썬
- 프로그래머스 가운데 글자 가져오기 자바
- 가운데 글자 가져오기 java
- 나누어 떨어지는 숫자 배열 python
- 코드업 1020 java
- 프로그래머스 가운데 글자 가져오기 python
- 빅데이터분석기사
- docker 삭제
- 프로그래머스 나누어 떨어지는 숫자 배열 파이썬
- 청년 AI Big Data 아카데미 13기
- docker remove
- codeup 1020 자바
- m1 docker install
- 트리의 지름 java
- 가운데 글자 가져오기 자바
- 최단 경로 알고리즘
- 코드업 1020 자바
- 핸즈온 머신러닝
- 프로그래머스 나누어 떨어지는 숫자 배열 자바
- docker 완전 삭제
- 나누어 떨어지는 숫자 배열 java
- 청년 Ai Big Data 아카데미
- 가운데 글자 가져오기 python
- 최소 스패닝 트리 자바
- 최소 스패닝 트리
- 빅분기실기
- m1 docker
- codeup 1020 java
Archives
- Today
- Total
NineTwo meet you
[백준/자바] 10610 30 본문
반응형
설명
가장 먼저 유의해야 할 사항은 N는 최대 개의 숫자로 구성되어있다는 점이다.
따라서 n을 정수형으로 입력을 받지 않고 String 배열을 만들었다.
n이 30의 배수가 되기 위한 조건
1. 0이 포함되어있어야 한다.
2. 모든 자릿수의 합이 3의 배수여야 한다.
이걸 "배수 판정법"이라고 한다.
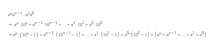
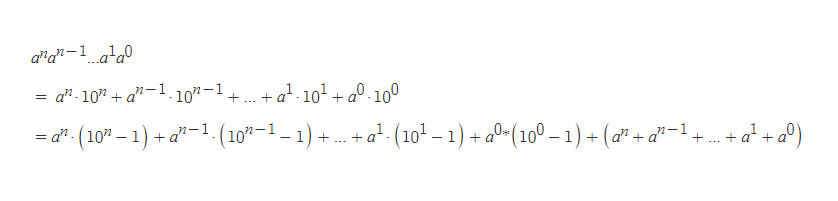
간단하게 2번 조건을 설명하자면

각각 10거듭제곱 -1 의 꼴은 9의 배수로 즉 3의 배수가 되어 나눠진다.
그렇다면 마지막의 각 항의 합이 남는데 각 항의 합도 3의 배수가 된다면 전체 수가 3의 배수가 된다는 증명이다.
코드
반응형
'프로그래밍 문제 > 백준' 카테고리의 다른 글
| [백준/자바] 1074 Z (0) | 2020.12.28 |
|---|---|
| [백준/자바] 1019 책 페이지 (0) | 2020.12.28 |
| [백준/자바] 12904 A와 B (0) | 2020.12.24 |
| [백준/자바] 2875 대회 or 인턴 (0) | 2020.12.24 |
| [백준/자바] 16917 양념 반 후라이드 반 (0) | 2020.12.22 |
Comments